
EIL BULLDOG VERSAND Christian Lauer
Werkstatthandbücher, Aufkleber und mehr!
Deutz – Massey Ferguson – IHC – Mc Cormick – MWM Motor und weitere Marken!
🚚 Kostenloser Versand ab 50€ innerhalb Deutschlands | 🇩🇪 Deutsche Qualität
37,90 €
inkl. MwSt. und kostenlosem Versand ab 50€ innerhalb Deutschlands.
Downloadprodukte kostenloser Versand.
Lieferzeit: 2-5 Werktage; Downloads sofort erhältlich.
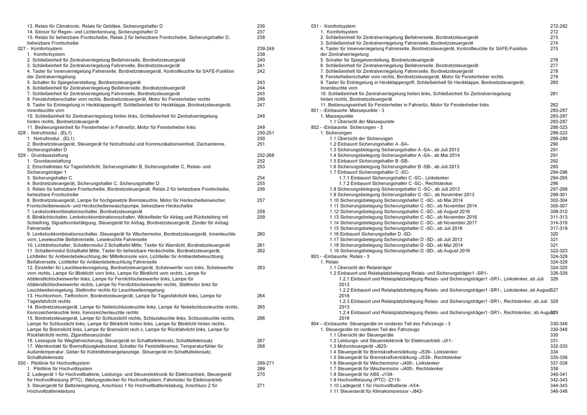
Offizieller VW e-Up! Reparaturleitfaden
– Baujahre: ab 2016
– Thema: Stromlaufpläne/Schaltpläne
– Umfang: 421 Seiten
– Format: Ringbindung ca. 300×225 mm
– Lizenzierter Nachdruck – Neuware
Der VW e-Up! Reparaturleitfaden ist ein lizenzierter Nachdruck der originalen Werkstattunterlagen. Diese Anleitung wird von Vertragswerkstätten verwendet und enthält alle technischen Informationen für fachgerechte Reparaturen.
Diese Reparaturanleitung enthält detaillierte Beschreibungen zu Aus- und Einbauarbeiten, Einstell- und Prüfarbeiten sowie zahlreiche Grafiken, Bilder und Explosionszeichnungen. Die Kunststoffringbindung ermöglicht ein problemloses Umschlagen bis zu 180°.
Dieses Produkt wird exklusiv auf Bestellung für Sie produziert (Druck auf Bestellung). Der Artikel ist nicht vorgefertigt.

inkl. 7 % MwSt.
zzgl. Versandkosten
In den Warenkorb